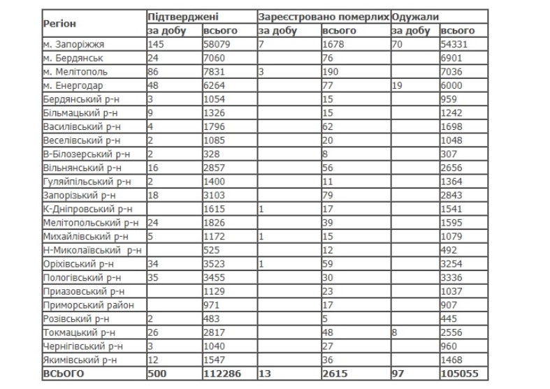
По количеству выявленных в сутки новых случаев болезни Запорожская область оказалась на четвертом месте среди других регионов Украины.
За прошедшие сутки опасную инфекцию диагностировали у 500 жителей региона. Увеличилось число новых случаев в Запорожье (145), Мелитополе (86), Энергодаре (48). Кроме этого, к сожалению, коронавирус унес жизни еще 13 человек.

Выздоровели за сутки 97 жителей области. Об этом сообщает Запорожский областной лабораторный центр.
Всего с начала пандемии в Запорожской области на коронавирусом заболели более 112 000 человек. Из них успешно справились с недугом более чем 105 000 жителей региона. По состоянию на 28 сентября продолжают лечение от коронавирусной инфекции еще более 4,6 тысячи больных.
В Запорожье коронавирус зафиксировали у 58 000 человек. Выздоровели от недуга 54,3 тысячи запорожцев. Еще более 2000 горожан находятся в больницах и дома под наблюдением медиков.









