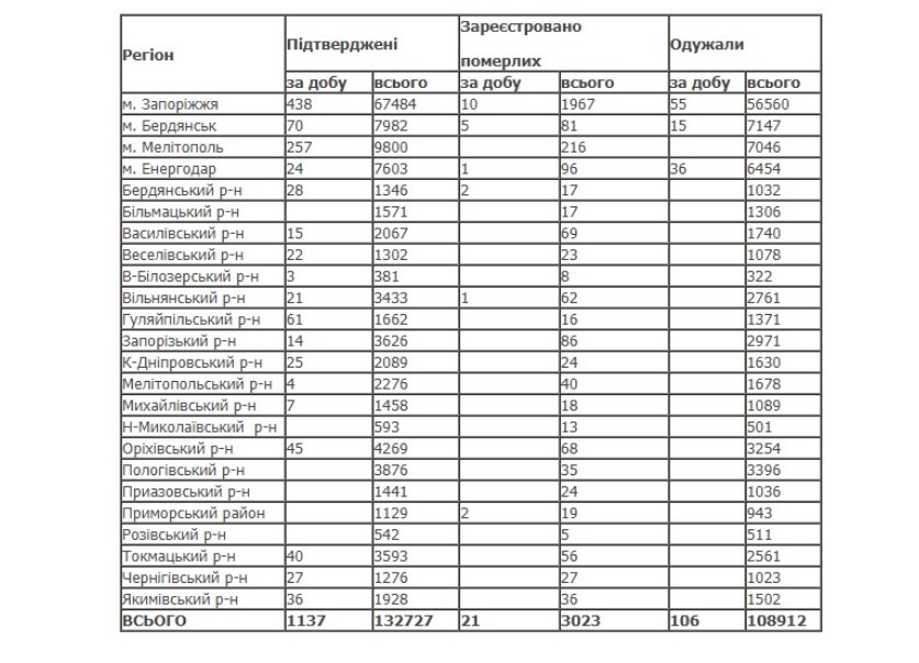
За минувшие сутки коронавирусную инфекцию в Запорожской области обнаружили у 1137 человек, из которых 124 — дети и 15 — медики.
Больше всего новых больных зарегистрировали в Запорожье — 438. Среди лидеров по заболеваемости также Бердянск и Мелитополь — 70 и 257 новых случаев за сутки соответственно.
Всего в Запорожской области зарегистрировано более 132,7 тыс. случаев коронавирусной инфекции.

За минувшие сутки в Запорожской области был зафиксирован 21 летальный случай от осложнений коронавируса: 10 в Запорожье, 5 в Бердянске, по 2 в Бердянском и Приморском районах и по 1 в Энергодаре и Вольнянском районе.
За сутки выписаны всего 106 человек. Всего же в нашем регионе, по официальным данным, коронавируса уже переболели почти 109 тыс. человек.
На сегодняшний день в Запорожской области продолжают лечиться — почти 21 тыс. человек. Об этом сообщает Запорожский областной центр контроля и профилактики болезней МЗ Украины.









