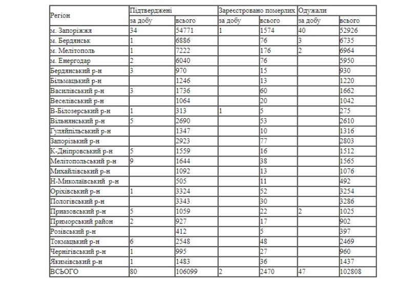
В Запорожской области продолжает увеличиваться количество новых случаев инфицирования коронавируса.
За минувшие сутки опасную инфекцию обнаружили еще в 80 человек. Больше всего больных — в Запорожье. Там зарегистрировали 34 новых случая. К сожалению, также в регионе еще 2 человека умерли от осложнений, вызванных болезнью. Выздоровели за сутки 47 жителей области.
Об этом сообщает запорожский областной лабораторный центр:

Всего с начала пандемии в Запорожской области зарегистрировано более 106 тысяч случаев коронавируса. Успешно преодолели болезнь почти 103 тысячи человек. В стационарах и дома на самоизоляции находятся еще 818 жителей области.
В Запорожье коронавирусом заболели более 54 500 человек. Выздоровели уже почти 53 000. В стационарах и дома под наблюдением медиков лечатся еще 271 горожанин.









