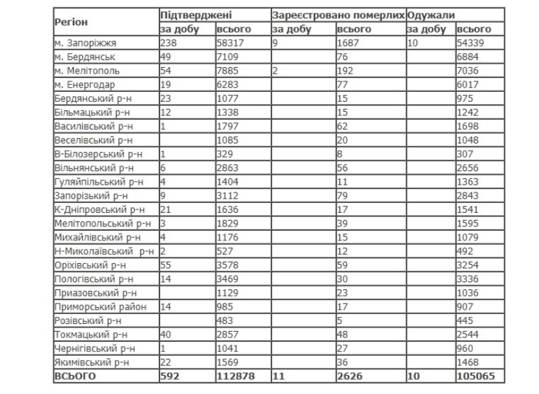
Количество больных коронавирусом в регионе продолжает стремительно расти. За минувшие сутки в Запорожской области прибавилось 592 случаев коронавирусной инфекции.
Среди заболевших — более полусотни детей. Также, к сожалению, за вчерашний день от осложнений, вызванных болезнью, умерли 11 жителей. Выздоровели за сутки 10 человек. Такие данные обнародовал запорожский областной лабораторный центр.

Всего коронавирусом в Запорожской области заболели почти 113 000 человек. Среди них 105 000 жителей успешно преодолели болезнь. По состоянию на 29 сентября продолжают лечение еще более 5 000 больных.
В Запорожье коронавирус зарегистрировали более чем 58 000 человек. Выздоровели от болезни около 54 500 запорожцев. Еще почти 2,3 тысячи горожан находятся ту больницах и дома под наблюдением медиков.









