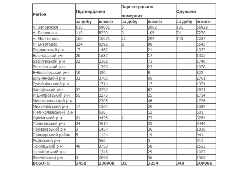
В Запорожской области за два дня коронавирус унес жизни более 100 человек. За прошедшие сутки недуг диагностировали у 1450 жителей региона, — это очередные антирекордные показатели.
Среди больных – более 170 детей. Вместе с тем болезнь продолжает уносить жизни запорожцев. За вчерашний день от осложнений коронавируса скончались 32 человека. Больше всего смертей зафиксировали в Мелитополе. Выздоровели за сутки почти 350 жителей области.

К утру 28 октября в Запорожской области COVID-19 болеют еще более 25,5 тысяч человек.
Они лечатся в стационарах и дома на самоизоляции. Об этом сообщает Запорожский областной лабораторный центр.









