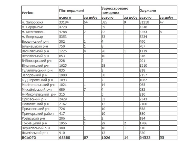
За минувшие сутки коронавирусную инфекцию диагностировали у 84 жителей региона. Заболели 64 жителя Запорожья, 7 жители Мелитополя и 7 жителей Михайловского района.

В разрезе административных территорий:

К сожалению, за прошедшие сутки от осложнений, вызванных болезнью, умерли 14 человек. Среди них 9 жителей Запорожья, 2 жителей Токмакского района, по 1 жителю Мелитополя, Васильевского и Черниговского районов.
В общем коронавирусную инфекцию подтвердили у 68 380 жителей региона. Выздоровели 64523 человека, еще 2828 больных находятся в стационарах и дома на самоизоляции.
В Запорожье коронавирус диагностировали у 33 184 человек. Из них 31210 запорожцев побороли болезнь. В стационарах и дома под наблюдением медиков лечатся 1389 горожан.








