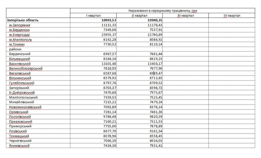
В четверг, 3 сентября, на сайте ГУ статистики в Запорожской области была опубликована статистика относительно среднего размера заработной платы по городам и районам региона за первые два квартала 2020 года.

Выяснилось, что абсолютным лидером по зарплатам является Энергодар. В городе атомщиков по итогам первого квартала 2020 года средняя зарплата составляла 25 955 грн, во втором квартале несколько меньше — 22 тыс. 760 грн.
На втором месте оказались зарплаты в Васильевском районе — 13 101 грн в первом квартале и 13 450 грн во втором квартале 2020 года.
Запорожье оказалось только на третьем месте. Средняя зарплата в областном центре в первом квартале 2020 года составляла 11 111 грн, а во втором — 11 178 грн.
Аутсайдеры — жители Веселовского района. В первом квартале размер средней зарплаты составлял 6 тыс. 587 грн, во втором квартале — 6 тыс. 989 грн.

Стоит отметить, что Запорожская область остается в лидерах по размеру заработной платы среди других регионов нашей страны.
Наш регион стабильно входит в ТОП-5 областей по уровню оплаты труда.








