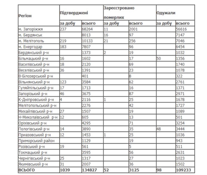
В Запорожской области коронавирус набирает обороты. Каждый день в нашем регионе фиксируют свыше тысячи новых случаев заболевания. За вчерашний день COVID-19 подтвердился еще у 1061 человека. Среди заболевших — 83 ребенка и 11 медиков.
В выходные дни рекордно взлетел показатель смертности. Например, в субботу умерло 50 больных в воскресенье — 52. Если в субботу всего летальных случаев было зафиксировано в Запорожье и Мелитополе — по 24 и 19 соответственно, то в воскресенье в лидерах — Мелитополь (21), Бердянск (16) и Запорожье (11 ).
За сутки выписаны всего 98 человек. Всего же в нашем регионе, по официальным данным, коронавируса уже переболели более 109,2 тыс. человек.
Утром 25 октября в Запорожской области на COVID-19 больные почти 22,5 тысячи человек. Все они продолжают лечение. Об этом сообщает Запорожский областной центр контроля и профилактики болезней МЗ Украины.










