В Запорожской области растет уровень заболеваемости коронавирусом.
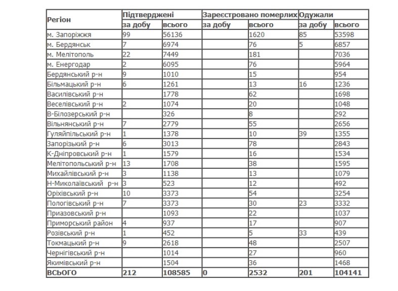
За прошедшие сутки в регионе зафиксировали 212 новых случаев коронавирусной инфекции. Еще почти столько же — 202 — человека преодолели болезнь и вчера были выписаны из больниц. Такие данные обнародовал запорожский областной лабораторный центр.
С начала пандемии в Запорожской области на коронавирус заболели более 108,5 тысяч жителей. Из них 104,1 тысяч жителей успешно побороли болезнь. Еще почти 2000 больных находятся в больницах.
В Запорожье — 56 136 случаев болезни. Полностью вылечились почти 54 000 горожан. В больницах и дома под наблюдением медиков лечатся 918 запорожцев.










